Fischereiliches Monitoring des Mühlenkanals
Um die Entwicklung des Fischvorkommens im Mühlenkanal zu erfassen und bewerten zu können, führen wir als Pächter der Fischereirechte seit 2018 eine jährliche Elektrobefischung in verschiedenen Teilabschnitten des Gewässers durch. Der Mühlenkanal ist ein weitgehend künstliches Fließgewässer und stark anthropogen geprägt. Fischbesatz findet nach mit Ausnahme von Aalen (in Form einer geringen Anzahl Glasaale) und Junglachsen nicht statt. Trotz der fehlenden Durchgängigkeit (flussaufwärts) und weiterer negativer Einflüsse, wie z.B. der Verlandungstendenz in einigen Teilabschnitten oder der stoßweisen Belastung durch Oberflächenwasser bei Niederschlägen mit allem, was sich auf den Straßen so ansammelt, ist der Fischbestand durchaus artenreich und deutlich von der Ilme geprägt.
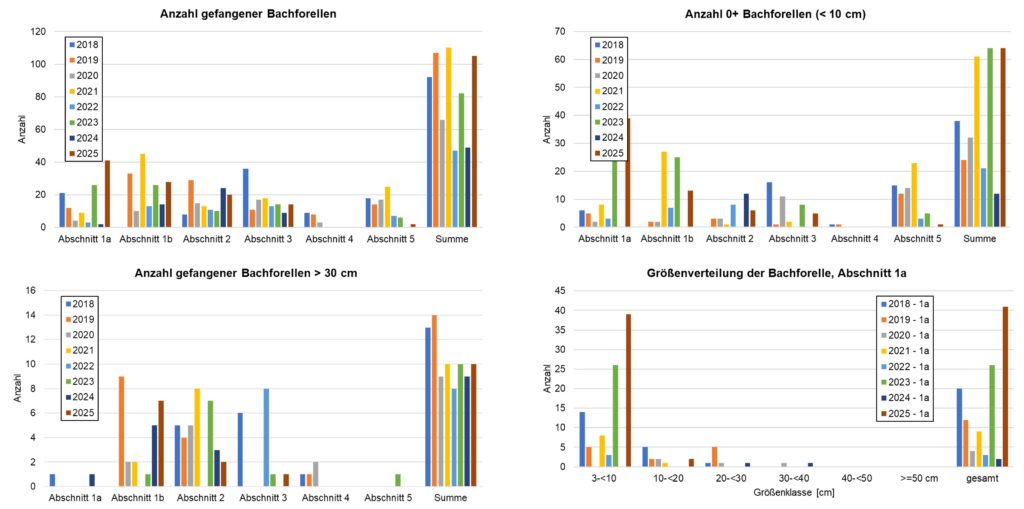
Ein Auszug aus den Ergebnissen der Befischungen wird hier vorgestellt.
Elektrofischerei – kurz erklärt
Bei der Elektrofischerei wird mittels einer Fang-Anode (z.B. Kescher mit Metallring) und einer Kathode (Kupferlitze) ein elektrisches Feld im Wasser aufgebaut. Die im Wirkungsbereich der Anode vorhandenen Fische werden kurzzeitig betäubt, können mit dem Kescher eingesammelt und nach Art und Größe bestimmt werden. Fachgerecht angewandt ist diese Methode sehr schonend, um Aussagen über den Fischbestand eines Gewässer zu erhalten. Die Elektrofischerei darf ausnahmslos nur nach behördlicher Genehmigung von speziell ausgebildeten Personen mit entsprechender Sachkenntnis und Ausrüstung durchgeführt werden.
Befischte Teilabschnitte des Mühlenkanals
Wir haben fünf bzw. sechs repräsentative Teilabschnitte festgelegt, welche die unterschiedlichen Charakteristika des Gewässers und damit auch die Besiedlung widerspiegeln (siehe Karte).
- Der Unterlauf des Mühlenkanals ist in den betrachteten Abschnitten 1a und 1b hauptsächlich kiesgeprägt, flach mit wenig Tiefenvarianz. Das letzte Stück bis zu Ilme ist dagegen aufgrund des geringen Gefälles sehr verschlammt und nicht watend zu befischen.
- Als Mittellauf wird hier der Abschnitte 2 und 3 zwischen den Mühlwehren am Rand der Einbecker Altstadt bis zur Walkemühle bezeichnet. Hier wechseln sich flache Bereiche mit Kiessohle mit deutlich tieferen, aber wiederum verschlammten Abschnitten ab.
- Oberhalb der Walkemühle bis zum Abschlag aus der Ilme sind die Abschnitte 4 und 5 verortet, wobei Abschnitt 4 aufgrund der zunehmenden Verlandung bisher nur zweimal befischt werden konnte. Abschnitt 5 kennzeichnet den „neuen“ Gewässerlauf zum Anschluss an die Ilme, der durch den Rückbau des Hullerser Wehres entstanden ist.

Ergebnisse
Folgende Galerie zeigt die Gesamtergebnisse der bisher durchgeführten Befischungen aufgeschlüsselt nach Arten und Abschnitten:




